Skip to content
Monday, Apr 13, 2026
Follow us
India Post News

India Post News

Official Updates, Orders & Insights from India Post

  • About Us
  • Articles
  • Contact Us
  • Home
  • Privacy Policy
  • Search
  • Home
  • Articles
  • Contact Us
  • Privacy Policy
  • About Us
  • Search

Grid Posts

View All
Latest Updates

Key Recommendations: of Cadre Restructuring

byrdubhalkar10@gmail.com January 28, 2026January 28, 2026
Latest Updates

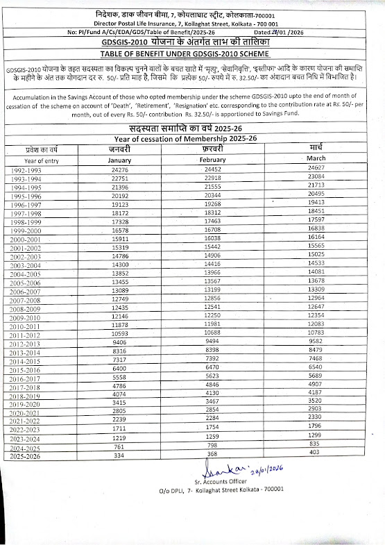
Table of Benefit i/r/o GDSGIS-10 Scheme for the period from January 2026 to March 2026 for the Financial Year 2025-26

byrdubhalkar10@gmail.com January 28, 2026January 28, 2026
Uncategorized

Table of Benefit i/r/o EDAGIS-92 Scheme for the period from January 2026 to March 2026 for the Financial Year 2025-26

byrdubhalkar10@gmail.com January 28, 2026January 28, 2026
Uncategorized

Comprehensive Report of the Committee on Cadre Restructuring of PA/SA, LSG, HSG-II, and HSG-I posts in the Post Offices (POs), Railway Mail Service Offices (RMS) and Circle/Regional Offices

byrdubhalkar10@gmail.com January 28, 2026January 28, 2026
Key Recommendations: of Cadre Restructuring
Latest Updates

Key Recommendations: of Cadre Restructuring

Key Recommendations:   Merger of cadres: Postal Assistant (PA) and Sorting Assistant (SA) to be merged into a single cadre called…

byrdubhalkar10@gmail.comJanuary 28, 2026January 28, 2026
Table of Benefit i/r/o GDSGIS-10 Scheme for the period from January 2026 to March 2026 for the Financial Year 2025-26
Latest Updates

Table of Benefit i/r/o GDSGIS-10 Scheme for the period from January 2026 to March 2026 for the Financial Year 2025-26

Click the below link to download PDF https://utilities.cept.gov.in/dop/pdfbind.ashx?id=14579

byrdubhalkar10@gmail.comJanuary 28, 2026January 28, 2026
Table of Benefit i/r/o EDAGIS-92 Scheme for the period from January 2026 to March 2026 for the Financial Year 2025-26
Uncategorized

Table of Benefit i/r/o EDAGIS-92 Scheme for the period from January 2026 to March 2026 for the Financial Year 2025-26

Click the below link to download PDF https://utilities.cept.gov.in/dop/pdfbind.ashx?id=14578

byrdubhalkar10@gmail.comJanuary 28, 2026January 28, 2026
Comprehensive Report of the Committee on Cadre Restructuring of PA/SA, LSG, HSG-II, and HSG-I posts in the Post Offices (POs), Railway Mail Service Offices (RMS) and Circle/Regional Offices
Uncategorized

Comprehensive Report of the Committee on Cadre Restructuring of PA/SA, LSG, HSG-II, and HSG-I posts in the Post Offices (POs), Railway Mail Service Offices (RMS) and Circle/Regional Offices

Download PDF (161 Pages)

byrdubhalkar10@gmail.comJanuary 28, 2026January 28, 2026

Copyright © 2026 India Post News | Media News by Ascendoor | Powered by WordPress.